游戏开发论坛

 找回密码
 立即注册
搜索
查看: 1008|回复: 0

【万字长文】浅析策略类游戏

[复制链接]

5万

主题

5万

帖子

9万

积分

管理员

Rank: 9Rank: 9Rank: 9

积分
91080
发表于 2025-10-9 09:22:47 | 显示全部楼层 |阅读模式
微信图片_2025-10-09_090705_207.jpg

现代化的游戏倾向于杂糅各种不同的玩法,但其中或多或少都会产生一定的策略性要素,使其具有一定的策略类玩法,但是究其本质到底是什么,在本篇文章中试图以更逻辑化的方式来讲述清楚。

一.引论

模拟经营类游戏的内核是一个内循环结构,这是表达模拟经营类游戏的最小结构也是本系类文章对它的定义方式,于是策略类游戏有无一个类似的最小结构,该如何定义什么是策略类游戏呢?

策略类游戏的分类有很多,就比如SRPG(策略类角色扮演游戏)或者RTS(即时战略游戏),典型的案例就比如《火焰之纹章》或者《英雄连》等等,SRPG其实是一种战旗策略游戏,战旗策略不能全盘代表策略类游戏,或者只是策略类游戏的经典形态,但是却能从其中感知到某种策略类玩法的存在,这可能是我们对策略类游戏能够产生的最直观的又最模糊的感受。所以要说清楚什么是策略类游戏,可以先理解什么是策略(Strategy)

策略,一个很容易理解但是深究起来似乎没有办法直观地说清楚它的含义的词,第五版汉语辞典对它的解释如下:

①【名】根据形势发展而制定的行动方针和斗争方式:斗争——

②【形】讲究斗争艺术;注意方式方法:谈话要——一点|这样不够——

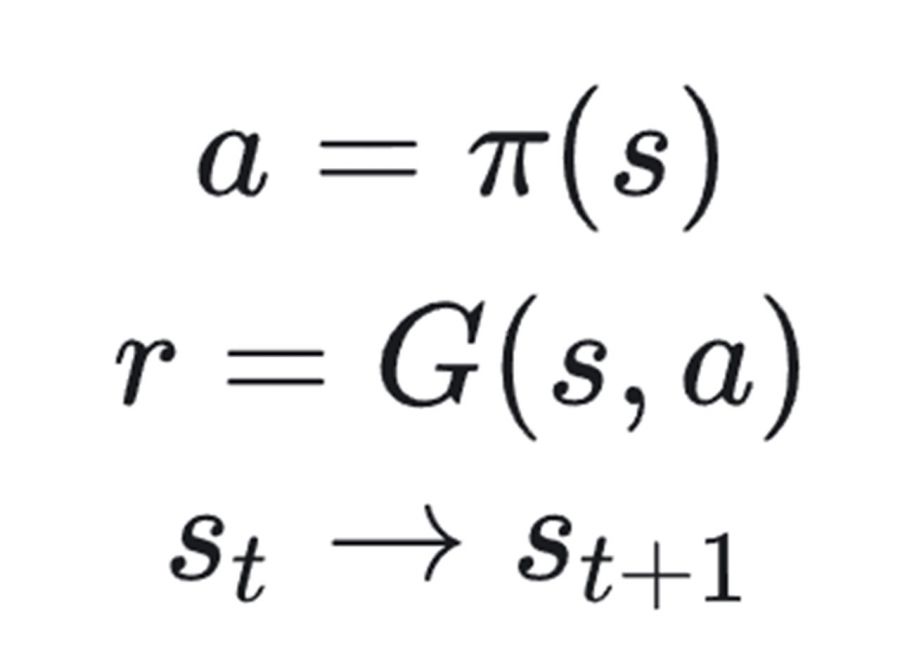
辞典的解释很适合作为一个起点,所谓策略[1],用编程或者数学的概念来解释,可以看作一个函数,这个函数的输入是当前的局势、环境或形势,它的输出是一个具体的行为:

微信图片_2025-10-09_090713_384.JPG

当然,其实还有一个很容易被人忽略的点,也就是这个策略函数可能会有另外一个参数叫做动作空间(Action Space),即当前玩家能做的所有可能的、潜在的行为的集合。

微信图片_2025-10-09_090715_632.JPG

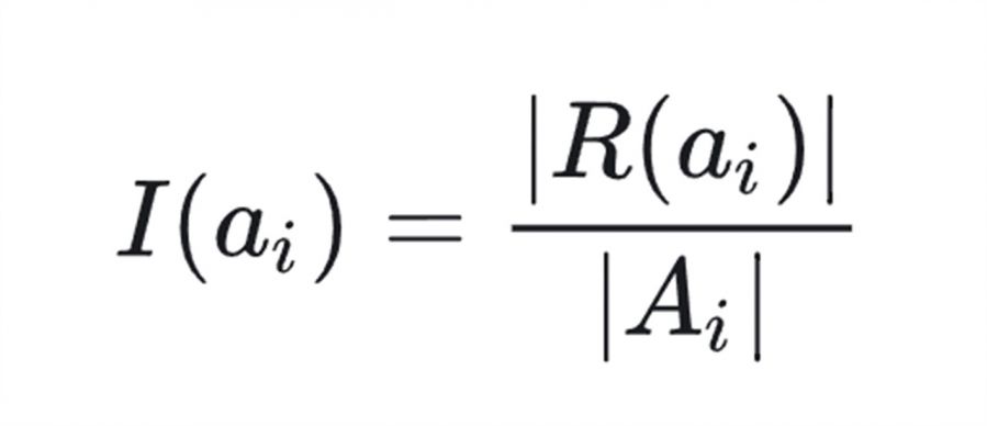
就拿象棋来说,棋盘上每个己方的棋子的所有可移动的点都是动作空间中的一项,毕竟制定策略最终是输出一个可以执行的动作,于是就必须要了解所有可能执行的动作。所以这个函数严格来说应该是这样的。

其中A表示所有可能的动作,但其实状态和可执行动作往往是密不可分的,正如象棋中的环境其实也代表着玩家的可执行的动作空间,两者是一体的,所以两者可以内化合并一个概念,叫做游戏状态。

微信图片_2025-10-09_090717_376.JPG

所以根据这个函数,本文可以给出关于策略的更加通用且广泛的定义:

策略即一种决策的基本逻辑,根据当前的游戏状态来选择一个具体的可执行行为。

这也是本文探究策略类游戏的重要结论,但其实策略这个概念本身是非常通俗的。就拿最经典的算法贪心算法(Greedy Algorithm)[2]来说,它所采用的策略就是每步都选择当前收益最大的选项,以试图使得全局的收益最大化。

部分情况下贪心策略是有效的,比如经典的数据压缩算法,哈夫曼编码就是采用贪心策略。但是在游戏场景中,贪心策略可能并不是最有效的,有的时候一些看起来是收益的奖励往往是某种诱饵,但是贪心策略只会选择当前收益最大的选项。

早期的国际象棋AI深蓝(DeepBlue)主要采用的就是贪心策略,它会对每个棋子进行评分,最高的是对面的王,次要是后、车、相等棋子,它每走一步都会生成所有的可能动作,根据可以吃的棋子的评分中选择最大的那个并吃掉,虽然深蓝还有别的机制但主要就是依赖这个策略。但是这种短视只能获取局部利益最大化,难以实现全局收益最大化。

以上的知识你大概率可以在强化学习(Reinforcement Learning)中了解到,因为RL就是一种针对策略或者决策进行学习和优化的AI算法簇,对于贪心策略来说,如果视它为一个人,那么把它的脑子打开,里面其实记录了一种对行为的评价方式,也就是每个棋子价值如何。相对地,如果打开的是以RL算法为核心构建起来的策略,你会发现它的脑子内部是一个神经网络。

但无论何种策略,它们都有选择动作的基本逻辑,而这也是策略类游戏所强调的概念:进行决策。

1.1 决策&反馈系统

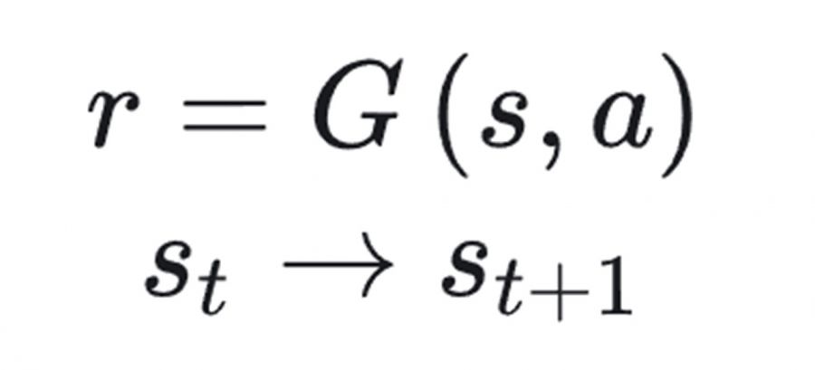
游戏可以被理解为一个决策&反馈系统,它可以视为由环境、规则等组成的完整的游戏系统或者包含其他目的的系统。和策略函数一样,这个系统也可以被理解为一个函数,如下所示:

微信图片_2025-10-09_090719_144.JPG

简单来说,在给定的状态下执行动作a,玩家将获取一个回报r,并同时将整个状态过渡到下一个时间片段,实际上决策&反馈系统非常常见,游戏就是一种典型的决策&反馈系统的建模。玩家能够对游戏执行一个动作,并获得一定的反馈且使得整个游戏的状态发生改变。

1.2 博弈系统

在经典博弈论[3]中,对博弈的解释是需要满足以下四个基本条件:

  • 参与者(Players),即决策人或者玩家。
  • 策略(Strategies),如前文所说,可以视为根据状态和动作空间来获取具体行为的函数。
  • 收益(Payoffs),在既定的策略之下,每个参与者所获得的效用或者利益等。
  • 信息(Information),即参与者能够了解到的对与博弈相关的所有情报或者知识等。

现在可以对博弈论的四个基本条件来进行简单的分析,其中参与者、策略、收益其实前文都已经提到了,最关键的一部分其实是信息。这也将引出本文的另外一个关键点,策略类游戏的构建核心就是基于情报或者信息的。

为此,本文提出了一个新的更适合游戏领域的系统建模用以取代经典博弈论中的建模方法,称之为博弈系统,定义如下:

博弈系统是一个由风险、收益、与决策相关的确定性信息和不确定性信息四个基本要素构成的决策&反馈系统,任何符合博弈系统描述的决策&反馈系统可以称之为具有博弈性。

其实决策&反馈系统中就已经提到了收益的概念,收益是构成决策&反馈系统的必要条件,因为收益是玩家进行决策的动机和依据,但是特别要注意,这里的收益并不是通俗意义上的效益或者利益之类的概念,而是一种评价体系。

如果把考试视为一个决策&反馈系统,那么分数就是收益,如果把扫地视为一个决策&反馈系统,那么收益就是地面干不干净。除了收益之外,其他三个基本要素可以简单梳理一下。

首先是风险,本质上风险代表了玩家对于决策这件事要产生某种成本,因为如果没有任何执行成本,那么整个系统就可以被暴力破解,因为玩家可以逐一的尝试所有的选项直到获取到足够的收益,此时确定性和不确定性信息就不再重要了,所以构建风险或者执行成本是形成博弈的重要元素之一。

其次是确定性信息,首先这里的信息是与决策相关的信息,比如参与游戏的玩家都有自己的昵称或者名字,但是这种信息对于决策没有任何影响力,基本上是无关信息。只有能够影响决策的才是博弈论中所定义的信息。如果直接移除掉确定性信息,那么一个博弈系统就会坍缩为一个抽奖系统,抽奖系统也可以看作一种确定性信息为零的博弈系统,比如体育彩票、或者抽卡手游、开盲盒等都属于抽奖系统。因为没有确定性信息,就没有决策的依据或者抓手,这样一来,任由再多的选项都会坍缩为单一的选项,如果只有一个选项,则没有必要进行决策了,正如抽卡只有抽奖的按钮,它不需要玩家从三个福袋中选一个,那都是一些表面设计。

最后是不确定性信息,如果直接移除掉不确定性信息,那么一个博弈系统就可以直接计算出它的最优解,比如如果有这样一个AI象棋选手,它完全基于一个固定的套路来走棋,那么就可以很轻松的计算出最快的赢它的手段并且这个手段可以无限的利用下去。

综合来说,只有一个决策&反馈系统满足了这四个基本要素之后,它才能形成博弈性,玩家才有可以利用的部分,或者说才能吸引到玩家来游玩这个游戏。

比如基金和股票就是一种博弈系统,它满足风险和收益,并同时具有一定的确定性元素,用户可以观察基金的以往走势、可以获取一定的政策和国际形势信息,但除此之外几乎都是变数。

赌石也是一种博弈系统,赌石是珠宝行业的术语,简单来说就是可能包含玉石的原材料在开采后是属于一种被石皮包裹的状态,内部状态如何是未知的,于是一块材料有一定的价值潜力,但是真正是否有价值还得切开才知道。

额外提一下,赌石在现代化已经失去了一定的意义,因为已经专门有珠宝鉴定方向的工业级CT可以更详细的看到石头内部的状态,部分人试图用医用级CT来证明X射线无法穿透一般的石头是没有说服力的,所以文本提及的赌石是一种完全理想化的赌石(因为游戏中可以设计类似于赌石的玩法系统)。

简单分析一下为什么理想化的赌石是符合博弈系统的,首先它满足风险要素,因为购买石头原料很贵,然而切出来之后,它的价值是有可能大幅贬值的。其次,它具有收益,如果切出来是一块好的料子,那么它的价值又会升值。再次,它具有确定性,有经验的老手可以通过磨皮开窗(珠宝行业术语)、打灯观测、计算石头的密度、观察石头皮壳状态等方式来推测石头内部的状态,但最终切开之前,它都具有很强的不确定性,所以理想化的赌石完全符合博弈系统的。

本文假设策略类游戏定义至少满足它的核心结构是一个博弈系统,所以理解博弈系统是理解策略类游戏定义的重要的前提,至于为什么,可以继续拆解。

二.策略类游戏定义

在有了对博弈系统的理解之后,就可以基于博弈系统构建出策略类游戏的定义了。现在需要我们对博弈系统中的四个基本要素进行一定的细化。

2.1 目标

模拟经营类游戏的核心结构是一个内循环结构,可见目标对于模拟经营类游戏来说不是必须的,但是策略类游戏不一样,策略类游戏一定需要一个目标。但是这个目标并不一定指代某种官方目标,比如打败对手、击败Boss、它也可以是一个局部的目标,甚至自定义的目标。

为什么?前文提到了决策&博弈系统的数学建模如下所示:

微信图片_2025-10-09_090720_997.JPG

其中r是回报,回报并不是一个具体的概念,而是一种评价,回报的评价体系是一定要围绕一个目标来的,就拿股市来举例,用户进入股市进行投资是为了赚钱,这就是一个目的,如果目的不是为了赚钱,那么评价体系就会发生变化,于是赚到的钱多钱少不能再作为决策&博弈系统中的回报r,那么用户决策的依据就会发生变化。

正如对于扫地机器人来说,目的是为了把地扫干净,于是可以通过对地面审查是否干净来对扫地机器人的工作进行评价,扫地机器人可以根据所获取的评价和自己以往的行为来优化自己的策略。但如果目的不是为了把地扫干净,那么这一切都需要重新开始。

因为决策是需要依据的,所以如果缺乏目标,就无法形成评价体系,进而决策就失去了根本的判断依据,无法评价每个动作包含的潜在价值,最终无法决策或者决策失去了意义。有了这样一层思考,甚至无须对现有的策略类游戏进行观察就可以断言:

策略类游戏是一种围绕达成目标而设计的游戏类型。

2.2 状态

现在不妨抛出一个简单的疑问:猜拳游戏算不算策略类游戏?(假设猜拳是不可作弊,完全公平的状态)

为什么会有这样一个疑问?因为猜拳游戏符合游戏有一个目标且需要玩家进行决策的结构,玩家需要从剪刀、石头、布三个选项中选择一个,然后赢过对手,简单又直接。

但是猜拳游戏并不是策略类游戏,虽然还没有得到策略类游戏的定义,但是策略类游戏至少要满足博弈系统的基本结构。

所以一个简单的证明就是,无论玩家进行什么决策,都有1/3的概率赢过对方,所以猜拳游戏本质上可以简化为一次抽奖,中奖的概率为1/3,也就是从性质上来说,猜拳游戏就是一个抽奖系统,抽奖系统是不具有决策概念的,或者说一个抽奖系统是不具有确定性信息的,这导致玩家没有可进行决策的重要依据。

但是这种说法只是很表面的对猜拳游戏进行了概念上的简化,没有触及其本质,真正导致三个选项可以被简化为一个选项的底层原因是因为这三个选项并没有改变系统状态,系统状态可以指代当前游戏中的环境与动作空间的综合。

为什么一定要改变状态呢?观察前文提到的整个博弈系统的建模:

微信图片_2025-10-09_090722_816.JPG

这个建模的直观理解就是,玩家执行了某个操作之后,会获取回报r,系统状态会发生一定的改变,所以不妨假设:如果执行了任意动作空间A中的动作a之后,都不会对状态产生任何影响或改变,会如何?

如果不管怎么操作,游戏状态都不会发生变化,用公式来描述就是:

微信图片_2025-10-09_090724_640.JPG

这就导致了一个可怕的事实:

微信图片_2025-10-09_090726_484.JPG

也就是说整个游戏世界都是完全静止的,本文没有深究过这样的游戏,但姑且认为这样的游戏并不具有现实意义,所以可以给出关于猜拳游戏性质的更为严谨的说法:

猜拳游戏不具有构成策略类游戏的必要条件:其行为无法改变系统状态,这使得整个游戏是静态的。

那状态又有什么特征呢?现在可以继续挖掘猜拳游戏,给猜拳游戏加入多对局制,也就是三局两胜制或者五局三胜制。当然,所谓三局两胜制可以看作是对战的玩家初始有两格血,每输一局都会掉一格血,输两局后游戏失败。

现在再来看刚才的分析,似乎事情略有不同了。因为每次决策后,系统状态的确发生了变化,同时系统拥有了一定的确定性信息,因为玩家的血量就是状态的一部分。但似乎仍然可以用抽奖系统的解释来否定三局两胜制的猜拳游戏是策略游戏,因为每一轮的决策仍然是独立事件,还是只有1/3的胜率。

但深入思考,会发现,虽然在三局两胜制的前提下,动作改变了系统状态,但是系统状态并没有对下一轮的决策产生实质性影响。也就是虽然确实有了确定性信息,但是这部分信息跟决策没有关系,这违背了博弈系统的定义中所描述的信息的要求,那么整个游戏,这仍然会陷入前面的静态游戏世界的陷阱里,最终导致决策仍然是无意义的。

这也是为什么博弈系统中的信息是必须跟决策相关的,正如如果玩家扮演一位将军然后带兵打仗,士兵的姓名叫什么其实是无足轻重的事情。博弈系统中的信息必须与决策有关联。

所以到这里,最终可以给出关于状态更为细致的特征:

状态中包含了所有能够影响到玩家决策的确定性信息和不确定性信息,同时状态会因为玩家的行为而发生一定的变化。

2.3 策略类游戏定义

经过对目标、状态、决策和博弈系统的解释,整个策略类游戏的循环架构图呼之欲出了,因为既然行为能改变状态、状态能够影响下一轮决策,就形成了一个循环结构。

微信图片_2025-10-09_090728_304.JPG
决策&反馈的循环结构

不过这张图有一个漏洞就是它没有停下的时候,这与最终要达成一个目标是不符的,所以可以对动作的结果进行分流:

微信图片_2025-10-09_090730_336.JPG
广义策略类游戏结构

现在可以给出策略类游戏的更为严谨和科学的定义了:

策略类游戏是一个围绕最终的目标,以系统状态,策略与决策,动作执行所构成循环结构为内核的具有博弈性的游戏类型。

2.4 关于策略类游戏定义的总结

这里我希望衍生一个与本文无关的概念,就是有一些人其实也很好奇,为什么要苛求一个细致的定义?虽然得到了这个结构,但是它的意义何在呢?就拿推导的过程来说,一般玩家即便不知道这个定义,也可以大概地分辨什么一个游戏是不是策略类游戏。

这是一个非常棒的问题,如果读者也有同样的疑问,我希望给出解答。

在立项我自己的模拟经营类游戏《多洛可小镇》的时候,我对游戏的设计和理解一无所知,我认识过很多这样的自称是“游戏策划”的人,实际上不过是玩过很多同类型的作品然后产生了自己制作游戏的想法但又没有任何实质性策划技能的人,我当时就是这样的人。

这样的人有什么问题?关键就在于,游戏的乐趣往往是一种最终呈现,一些不属于游戏核心结构的设计也会因人而异地产生很多乐趣,比如有的人很喜欢动森里的可爱的小设计,有一些人很喜欢游戏里的台词和惊艳的视觉设计和镜头语言,有的人则喜欢在广袤的开放世界的角落里探寻到一块石头下的宝藏的喜悦感。

以上这些都是游戏的乐趣,但是它们不是游戏的核心架构,它们是为整个游戏锦上添花的部分,正如我在写完模拟经营类游戏综述的时候说过,种田类游戏的核心并不是种田。

这些内容庞杂而无序,属于脑洞一整天就可以得到一大堆的奇妙想法,也确实是最游戏最有乐趣的部分,但是一个没有对游戏设计有过深入研究的人则很容易将游戏边缘内容与核心架构混为一谈,开始专注于一些表面内容最后发现牛头不对马嘴。

对于结构很复杂的游戏正确的路径是先构建起核心的架构,将其视为一个框架或者平台,再往其中加入各种脑洞和趣味性的内容。

如果对核心架构缺乏认知,可能会认为模拟经营类游戏就是背包系统、种田系统、建造系统、对话和任务系统等等系统的组合,只要把这些系统都完成,游戏就做出来了。因为似乎大部分的模拟经营类游戏都是这样设计的。然而这就是模拟经营类游戏最大的陷阱,模拟经营类或者类似的结构比较复杂的游戏都存在一个短板性质,那就是它的纵向系统很多,你只有把这些系统都做出来,整个游戏才能开始体验,才可以开始感受反馈。

如果一意孤行,结果就是最终做了一大堆系统,结果发现对不上之后开始大量的修改,产生的成本惯性可以轻易的击溃一个不成熟的团队。

形成反馈的周期性太长是策划迭代游戏设计中会面临的最大的问题,于是自然而然地,就要开始探寻怎么样以最小的架构去实现一个模拟经营类游戏,我在初期探索中总结的一个很经验论的方法叫做系统剪枝法,对于一款现有的模拟经营类游戏,如果删掉其中的某个系统无法对现有的游戏循环产生致命性影响,就删除它,一个游戏删无可删之后留下来的就是这个游戏的剪枝版本,也是它的最小构成。

而在对《星露谷物语》进行系统剪枝的过程中,我对模拟经营类游戏有了更深刻的认知,我意识到可以先定义什么是模拟经营类游戏,之后就可以从理论层面出发得到一个有效的结构设计,所以我在模拟经营类游戏中提出了“葡萄树模型”,这是一个极简的模拟经营类游戏。

当然,在我的文章里出现的大部分模拟经营类游戏循环结构都是这样的:

微信图片_2025-10-09_090732_264.JPG
广义模拟经营类游戏抽象架构

但是事实上这个循环是广义模拟经营类游戏,但星露谷物语或者牧场物语是RPG+模拟经营的缝合类游戏,相对来说更为具象化,所以它的结构可以被确定的更多,只不过这篇研究文章的内容不多,所以没有发布出来。

微信图片_2025-10-09_090734_320.JPG
类星露谷物语游戏结构分析

所以回头来看,为什么要苛求一个细致的定义,因为如果一款游戏结构简单,那么我们可以直接去打磨它的整体,但是如果一款游戏结构复杂,比如MMORPG、SLG(此处指模拟经营类游戏)、RTS等,很容易陷入一些表征性概念而无法做出有效的迭代和设计。

所以去研究定义和结构,正如如果一个画师要画一个角色,总是先画好大概的草稿和主体结构,然后再去绘制底色、然后再是一些细节比如扣子金属反光、衣服的褶皱等。只有当画师达到一个极高的水准,这些内容已经了然于心,才会开始打乱这些顺序,专注于自己想要专注的部分。

以上,是关于为什么要苛求的游戏的基本定义的解答,如果定义出错了,我们可以去慢慢修正结构的定义,但是贯彻这种研究方法本身是科学和有效的。

三.策略类游戏的特征

现在已经知道了策略类游戏更为精确的定义,所以它和模拟经营类游戏的循环结构有什么异同之处呢?挖掘它和模拟经营类游戏的异同可以推导出策略类游戏的基本特征。此外,从策略类游戏的定义入手也可以找到更多的特征。

3.1 显式目标

首先最大的不同肯定就在于目标,模拟经营类游戏是不存在既定的目标的,即便部分游戏设计了目标也只是一个形式目标,不是结构目标。

因为很多游戏都有策略类玩法要素或者模拟经营类玩法要素,所以其实两者是可以自由嵌套的,比如模拟经营可以嵌套策略循环,典型的案例就比如《王国》、《冰汽时代》,策略类游戏也可以嵌套模拟经营循环如《文明》系列作品、《北境之地》等。

但是无论嵌套多少层玩法结构,它都会有一个根结构(Root Structure),也就是文本谈到的核心结构,比如文明系列游戏或者北境之地之类的游戏大部分时间都在规划和发展,看起来偏养成性,但实际上它有一个很严格的停机目标,一旦达成这个目标,游戏就会结束。

而《王国》《风暴之城》《终末之地》《冰汽时代》《庄园领主》《极远边疆》一类的游戏则相对偏模拟经营类,不存在显式目标,只告诉玩家要生存下去,玩家游玩的主要是纯粹的发展和规划。

3.2 决策力度和游戏体验时长:为什么策略类游戏往往是对局式的?

决策是存在一定局势影响力度的,但因为游戏状态复杂度的不同,我们暂时无法得到一个有效的计算公式,但是玩家每次决策必然会造成一定的局势上的改变。

但有一个也许可行的计算方案,如果经常看象棋对局,会发现象棋现在大多采用AI来对胜率进行预测,所以也许可以通过每走一步的AI评定的胜率变化/决策空间规模来粗略的表示该次决策的影响度,说白了,如果能专门针对某个游戏训练一个特定的AI来预测胜率的变化,就可以通过下列公式来计算决策的影响度。

微信图片_2025-10-09_090736_241.JPG

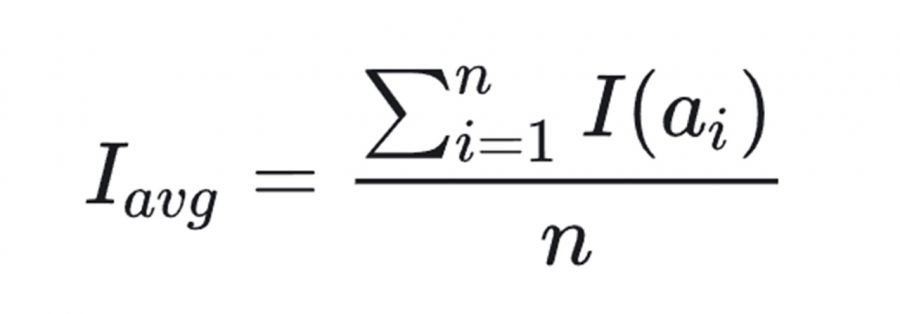
接着可以求出一局对局的平均影响度:

微信图片_2025-10-09_090738_240.JPG

但是这个公式只是一个假说公式,因为暂时没有办法证明它,目前唯一可以用以实验的就是围棋和象棋,按照本文的猜想,围棋的平均决策影响度应该是低于象棋的,但是本文不是论文,所以此处暂时不做更深入的探索。

一局象棋对局算上思考的时间,大概要走10-30分钟左右,一局云顶之奕大概要走15分钟左右,而如果你开一把文明6,增加10个国家,世界选择巨大,胜利模式改为统治胜利,这局游戏大概要玩到6-10个小时,当然,这里要排除掉一些游戏的动画播放和演绎的固定结构性时间影响,那么文明6也远比象棋和云顶之奕来的更久,这些都跟玩家每次决策的影响度有关联,所以可以给出一个基于此的猜想:

玩家的决策影响度越大,则对局的平均时间就会越短,反之则会越长。通过调整决策影响度就可以影响整个游戏的节奏感设计。

文明6中的决策就非常细碎,按照上述参数来创建游戏,一局游戏可能要玩400-500回合,每个回合玩家都有很多单位(包括城市和武装单位)可以决策,于是每次决策的影响度就会降低,节奏就变得十分的慢。

所以不妨假设这样一个策略类游戏,一局对局的体验时长在40-70小时左右,该如何理解它?个人认为这样的游戏难以存在,因为如果一局对局的体验时长过长,玩家的决策影响度就会降低到无足轻重,这与策略类游戏着重于思考、规划和决策的内核是相违背的。然而40-70个小时则是模拟经营类游戏的常见体验时长。

所以通常来说,策略类游戏要体现出决策的重要性,就是拔高决策的影响度,从而对局的时长不能太长,于是策略类游戏往往是对局式的,这样便于更好的约束体验的时长。

3.3 决策重于反应和操作:为什么策略类游戏大多是回合制的?

并不是所有的策略类游戏都是回合制,但似乎大部分策略类游戏都是回合制的,至少很多耳熟能详的经典游戏很多都是回合制,当然理由很简单,因为策略类游戏着重于思考、规划和决策,所以整个游戏的所有设计都会为了这个特点服务。

回合制是不依赖于玩家的反应力和操作的,就拿MOBA类游戏《英雄联盟》和其衍生的自走棋类游戏《云顶之奕》来说,英雄联盟是一个非常考验操作和反应速度的游戏,相对来说竞技性更强,难度也更大。而云顶之奕则相对来说更简单,因为它不需要玩家进行任何操作,只需要进行决策即可,执行的过程是不需要玩家介入的。

回合制可以看作是世界处于半静止状态,或者可以称这个世界的时间是离散的。就像是《StoneShard》《Subterrain: Mines of Titan》里的世界,也就是玩家如果不进行任何操作,整个世界就是静态的。

微信图片_2025-10-09_090740_280.JPG
游玩的StoneShard截图

除此之外,回合制还有一个特点就是给了玩家思考和规划的时间,因为很多实时操作性游戏比如动作类游戏是不会留给玩家太多时间去思考的。

所以策略类游戏的一个基本特征就是,它更偏重于思考、规划和决策,并会降低对操作和反应速度等方面的要求。

于是策略类游戏不一定是回合制的,但是设计性层面一定会使得操作、反应速度为决策这件事让步,只不过回合制同时满足了给予玩家足够的思考时间和降低了对操作性的要求,所以策略类游戏通常以回合制为主,而在RTS中则对玩家的微操能力有一定的要求。

3.4 强调发展和结果的未知

在策略类游戏的定义中,或者从策略函数中可以得知:对决策影响最大的就是环境,环境的变化会导致决策发生重大的变化,而决策又会进一步的影响环境。整个游戏世界是在不断发展的。

这种发展和模拟经营类游戏中的城市营造的那种发展并不是同一种概念,这种发展偏重于描述世界正在不断地变化,而相对来说模拟经营类游戏的世界虽然也在发展,但其最终的结果往往就是搭建出一个庞大的城市或者一个完善的农场,虽然形态设计可以截然不同,但这个核心方向是没错的。

所以严格来说,策略类游戏强调环境的变化和结果的未知,而模拟经营类游戏则强调城市营造规划和结果的已知。

既然强调发展,又有何种表现呢?这种表现落实到具体的设计其实是非常多的,所以这里就提一种最经典的设计,即科技树的设计。

在写游戏中的经济学浅析一文的时候,曾经提到过价值链的流动模式,通常来说价值链依据其趋势可以分为朴素式流动、融合式流动和扩散式流动。但除了价值链之外,任何带有节点性质的概念都是一样的,比如科技树。所谓融合式科技树大概是这种感觉:

微信图片_2025-10-09_090742_376.JPG
融合式流动

融合式科技树往往具有很强的引导性,通常用以指导玩家进行素材的收集和构建整个游戏的压力传导结构,在泰拉瑞亚、饥荒、我的世界中都有大量的类似的概念。有了一个工作台之后,就知道了大概的配方,然后就可以收集素材然后制造出对应的设备,所以说这些游戏并不是没有引导,而是它们的引导的主要形态就是一个融合式科技树。

而扩散式科技树则是反过来的:

微信图片_2025-10-09_090744_440.JPG
扩散式科技树

扩散式流动则强调结果的未知,强调发展,强调玩家应该根据环境和局势的变化来选择不同的科技以更好地处理目前的对局。比如下列科技树,最初的玩家招募的都是民兵,但是它可以通过科技树来升级为不同的兵种以适应不同的战场环境。

微信图片_2025-10-09_090746_591.JPG
一个假想的士兵升级扩散过程

游戏世界的随机初始化;对手的出招和战略部署的不同;环境中可能出现的随机事件都有可能使得整个游戏朝着未知的方向发展,这是整个游戏产生博弈性的核心点之一。

3.5 随机性对于策略类游戏的影响

通常来说,很多游戏都会引入随机性,随机性也是构造不确定性信息的一种经典方式,但是随机性并不能完全代表不确定性信息,就拿RTS来说,RTS中有一个概念叫做战争迷雾,被迷雾遮盖的区域是未知的,但是这部分内容并不是随机的,所以说随机性是不确定性的一种形式,但不确定性则未必是随机性所引发的,不确定性的范围要更广一些。

不确定性在一个博弈系统中的占比有可能会改变整个博弈系统的性质,前文已经提到了,如果一个博弈系统的确定性信息为零,则代表了它对玩家来说是完全不可决策的。

这个系统性质的改变可以再深化一下,因为这个系统的性质只针对玩家的决策行为,什么意思呢?就比如拿三张牌,其中一张是红桃而另外两张是黑桃,然后摆放好顺序让玩家抽,和一个实时运算的程序不一样的是,在玩家抽之前,谁是红桃就已经确定了,也就是说,虽然是抽奖但它对于玩家来说只有不确定性,却没有随机性。

但是它对玩家来说仍然是一个抽奖系统,因为抽奖和博弈是围绕玩家的决策来的,没有任何能够影响玩家决策的信息,所以其性质没有发生变化。

但是这里可以衍生另外一个特殊的情况,就是对于一个多次执行的只有两种结果的抽奖系统,在每次抽奖概率相等的情况下可以视为一种伯努利实验,但如果系统所采用的随机算法是伪随机算法,且玩家知道的情况下,那么整个系统其实会变成一个博弈系统。

因为其中有了一部分确定性信息,而且这部分确定性信息会影响玩家地下一步操作。一个最为典型的案例就是DNF的强化或增幅系统。

DNF中的增幅或者强化系统理想的来说是一个抽奖系统,其结果是完全未知的,但是因为其使用了伪随机算法,多了一个垫子的概念,所以长期来看,它是实质性的博弈系统。所以下文提到的抽奖系统如果未经提及都是理想化的抽奖系统。现在已经知道两个事实:

  • 不确定性信息的一种典型形式就是引入随机性
  • 如果博弈系统是完全不确定性的,那么它会坍缩为一个抽奖系统

换而言之,如果一个博弈系统引入较多的随机性,它的不确定性就会提高,进而使得其向着一个抽奖系统靠近,它的设计意义是什么呢?

因为抽奖系统有一个特点,也就是一个理想化的抽奖系统,那么它不具有任何玩家可以掌握的信息,于是任何水平的玩家来操作,结果都是一样的。所以反过来说,如果系统中引入的随机性较少甚至完全没有随机性,比如象棋,象棋的不确定性信息完全源自于不知道对手下一步怎么走,于是它对于双方选手的实力有很大的关联。

这就是随机性的两个极端情况,据此不难推出这个结论:

在博弈系统中引入的随机性的程度越高,其对玩家的实力要求越低,反之则越高。

3.6 策略类游戏的博弈是围绕信息展开的

在博弈系统中,信息分为确定性信息和不确定性信息,并且这些要素会在对局中快速变化,当然,信息是一个抽象描述,它可以被概括为情报、知识等。而确定性信息和不确定性信息的不断地变化是构成博弈的关键要素。

在斗地主中,高级别的选手通常拥有很强的记牌能力,因为实际上每次出牌之后,剩下的牌能凑出什么样的牌就会逐渐明确,于是斗地主玩家可以根据剩余的牌型来规划自己的出牌路线,选择胜率最大的打法,这种做法并不一定会胜利,但是会提高胜率。长期来看,玩家胜利的场次会越来越多。

而在恶魔轮盘中同样如此,甚至恶魔轮盘的主要玩法就是围绕情报展开的,简单的介绍一下这款游戏,这款游戏属于双人对战,玩家和对手都有一定数量的生命值,通常是2-4格血,对局开始时生命值的数量才会确定。

一场游戏分为多轮对局,对局是围绕一把霰弹枪展开的,游戏开始时,霰弹枪中都会设置2-8枚子弹,并告诉双方玩家,有多少子弹是实弹而多少是空包弹,这个数量和顺序都是随机的。同时都会给双方玩家发放一定数量的随机物品,每个物品都有不同的作用,如果霰弹枪中的子弹全部打完还没能分出胜负,则这些道具会保留并会给霰弹枪重新上膛。

恶魔轮盘的基础规则是这样的,双方玩家轮流行动,在自己回合的行动中,可以使用道具来改变战局状态,然后以开枪来结束回合,开枪可以选择朝自己开枪也可以选择朝对手开枪,如果朝自己开枪是空包弹,则下回合也属于自己,如果不是空包弹,则扣一滴血并进入下一回合。如果朝着对手开枪,空包弹则无事发生,不是空包弹则扣除对手的血量。

微信图片_2025-10-09_090748_616.JPG
图为恶魔轮盘

首先这个游戏最关键的就是双方玩家是不知道下枚子弹是什么的,这就是一个不确定性信息,但是随着玩家使用道具或者对局的推进,这些不确定性信息会转变为确定性信息,比如如果开场是两枚子弹,一枚是空包弹,一枚是实弹,如果玩家朝着自己射击,是空包弹,则下一发必然是实弹。

此外,玩家可以利用道具来改变战局状态:

  • 放大镜可以让你查看当前的子弹是空包弹还是实弹
  • 手铐可以铐住对手使得无论玩家这个回合做了什么,下个回合还是属于玩家
  • 锯子可以锯掉枪管,使得这轮的实弹伤害从1变为2
  • 香烟可以恢复一滴血
  • 手机可以让你知道未来的某一发子弹是空包弹还是实弹,手机可以看作一个劣化版本的放大镜


本质上,这个游戏会围绕子弹数量,实弹数量和道具和血量来展开,正如上图所展示的游戏对局状态,我和对手都只有一滴血了,我的场上有香烟、手铐和放大镜,所以对我来说几乎已经是必赢的状态,可以先手一根香烟回复一滴血,然后通过放大镜来观察下一枚子弹,如果是实弹可以直接送走对面,如果是空包弹则打自己,到下一回合,可以通过手铐铐住对面,获得两回合朝对面攻击的机会,因为连续三枚空包弹的概率是非常低的,所以如果放大镜看到的第一发不是实弹,则大概率会在第二发或者第三发的时候送走对面。

但是这么做的理由除了能够直接送走对面之外,还有另外一个原因,因为对面也有一盒香烟,如果不试图在这一回合毙掉他,那么他恢复血量之后情况又回到了两格血vs两格血的状态,所以尽可能地用掉所有地道具在我方轮次中干掉他是最好的策略。

所以这个游戏中我的决策的根据第一是我场上的道具能否极大的概率的在这一轮次中解决掉他,其次是我观察到对方场上的道具是有一定的回复能力,所以即便是没有手铐,我也会尝试一回合解决掉他,因为这局比赛双方都只有两格血,即便我用香烟回血了,如果下回合他刷出锯子仍然是有概率一回合秒掉我的。

3.7 关于策略类游戏的特征总结

以上就是我大概想说的一些内容了,因为策略类游戏涵盖的内容实在太广了,于是如果有一套理论能够把什么是策略类游戏和其特征讲清楚,大概率只能以比较抽象的特征来描述它,但其实个人希望更进一步的研究模拟经营类游戏和策略类游戏是如何相互嵌套与杂糅的。

这会给设计复杂度更高的策略类游戏提供更多的帮助,同时也可以通过模拟经营类游戏中一些理论积累来强化策略类游戏的理论体系。尤其是之前通过驱动系统理论来研究《北境之地》的时候,其实是完全把北境之地当成一个模拟经营类游戏来研究的,但北境之地严格来说应该是一个策略类游戏的架构嵌套一个模拟经营类游戏的子内核,所以说,结构真的太奇妙了。

微信图片_2025-10-09_090750_591.jpg

但是还是先停下来做一个简单的总结,以避免这篇文章再次变成一篇超长文。关于策略类游戏和模拟经营类游戏的混合结构分析我会在后续的文章里进一步的探究,并且此后在策划类的文章中,我会开始将我自己的一些demo设计作为案例放到文章中。

四.后记

这篇文章也写了很久了,为了写这篇文章我其实还玩了很长时间的《游戏王大师决斗》,但是这个游戏的复杂度是远超一般的桌游的,所以无法在主要篇幅中来解释它,否则就要引入大量的游戏王的概念,这不是一篇文章能写得完的。所以如果读者有游戏王相关的经验,可以继续读下面的内容。

4.1 游戏王的构筑环境变化

《游戏王大师决斗》在2025年7月引入了码丽丝卡组,但其实码丽丝的终场并不是很强,但码丽丝是妥妥的主流卡组,所以为什么终场不是很强的码丽丝卡组可以跻身一线卡组呢?这其实就要慢慢谈了。

首先要理解游戏王和其他万智牌或者卡牌桌游最大的特点的不同,就是游戏王没有任何发动卡牌的代价,除了通常召唤有一次限制之外,特殊召唤没有任何限制,魔法卡的发动也几乎没有限制,这导致任何能抽牌的卡都显得无比强大,因为只要能继续抽牌,游戏王就几乎可以无限的展开下去,展开能力极强的卡组也叫爆展流卡组。

游戏王中有一张卡禁卡,叫强欲之壶,这张卡的效果是从牌组抽两张卡,得以于游戏王的游戏性质,这张卡的强度在游戏王里几乎是爆表的,于是被禁用了。

如果展开能力过强,那么很容易在自己先手的情况下做出一个很大的场面,然后对手是几乎打不过的,下面是我用防火龙+码语者+三闸机男巫构建起来的很强的终场:

微信图片_2025-10-09_090752_728.JPG
码语者/防火龙/三闸机男巫终场

这个终场之强大,有三闸机男巫三技能、后场的电脑网冲突两个三色康,防火墙龙·暗流体的四次怪效康,墓地电子界封存龙的二色康,以及墓地伊格尼斯·风飞马的弹牌和防火墙龙起点的四次弹牌,同时火码下回合还可以继续抽卡,可以说这个终场做出来到目前为止还没有能遇到可以攻破它的人(当然也可能是我段位太低了,最高白金1)。

所以随着游戏王的牌效越来越高,其展开能力是在不断加强的,于是后手玩家要想有游戏体验,就必须要开始携带手坑,什么叫手坑呢?就是能够在对面展开的时候可以直接发动并打断对面的卡,所以虽然我的终场很强,但是在白金三以上的段位是几乎做不出来这个场子的,很容易吃到灰泡G陨而被中断。

所以最终的结果就是,能在白金钻石以上段位玩的比较开的卡组,基本上都是被康之后妥协能力很强的卡组,就比如码丽丝,码丽丝自身的阻抗很高并且和手坑协防的能力很强。此后的主流卡组基本上都有这种性质。

这就是游戏王的整个环境的主流卡组历史变迁,当然,在任何时代都有玩任何卡组的玩家,所以以下变迁主要针对主流卡组。

微信图片_2025-10-09_090754_975.JPG
游戏王构筑变迁过程

4.2 游戏王基于情报的攻防战

所以游戏王中的博弈策略也基本上都是基于情报的,其最关键的过程并不是攻防的过程,而是展开的过程,基本上很多战斗在展开过程中就可以结束了,因为大部分白金钻石以上的卡组都有能力在对面无法拦住自己的情况下一至两回合击败对面,很少会拖入超过3个回合。

而展开的过程中,先手玩家要注意的就是骗康防陨,而后手玩家则是在什么时机交康,所以游戏王的情报分为两大块,一方面是对面的卡组,比如2025年年初的大师决斗非常流行原石青眼卡组,如果你熟悉这个卡组,就知道该怎么去交康来打断对面。

我自己玩的是码语者/斩机/防火龙这套(PS:选择这套卡组纯粹是因为当初不懂瞎选的),打断码语者斩机的展开就是在圆武发动二技能的时候打断,或者发动电脑网挖矿或者通召瓢虫女郎的时候,这几个时机对于码语者来说都是比较重要的阶段。

这种属于场外情报,也就是你可以通过阅读卡牌的技能或者观察主流卡组视频来在对局之前进行了解,还有一种就是场内情报,也就是部分玩家有自己的展开习惯和攻防策略,通过猜测对手的意图和想法以此来作为是否打断的判断依据是游戏王攻防战核心逻辑。

但其实个人认为游戏王作为策略类游戏的乐趣其实是不足的,它的乐趣主要是构筑的过程,实际上打好多局可能都没有办法打出一局精彩的对局,要么是自己吃瘪,要么是对手吃瘪,可以说看对面说书展开然后自己一点办法没有这种无力感真的太强了。

参考
^Sutton, R. S., & Barto, A. G. (2018). Reinforcement learning: An introduction (2nd ed.). The MIT Press.
^Edmonds, J. (1971). Matroids and the greedy algorithm. Mathematical Programming, *1*(1), 127–136.
^von Neumann, J., & Morgenstern, O. (1944). Theory of games and economic behavior. Princeton University Press.

文/王子饼干 《多洛克小镇》游戏制作人
原文:https://zhuanlan.zhihu.com/p/1956584978579162583

您需要登录后才可以回帖 登录 | 立即注册

本版积分规则

作品发布|文章投稿|广告合作|关于本站|游戏开发论坛 ( 闽ICP备17032699号-3 )

GMT+8, 2025-11-19 19:10

Powered by Discuz! X3.4

Copyright © 2001-2021, Tencent Cloud.

快速回复 返回顶部 返回列表